Sample Size
Início
Sobre
PPGCS Sample Size
Calcule aqui o tamanho da amostra do seu estudo!
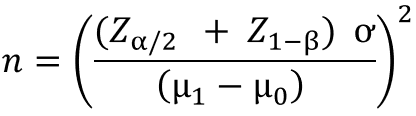
Média experimental contra um valor referência (Teste Bilateral)
Informe os parâmetros
Nível de Confiança (1-α):
%
Poder do teste (β):
%
Desvio padrão (S ou ơ):
Média referência (µo):
Média experimental (µ1):
Calcular!