Sample Size
Início
Sobre
PPGCS Sample Size
Calcule aqui o tamanho da amostra do seu estudo!
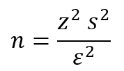
Estimativa para Médias - População Infinita
Informe os parâmetros
Nível de Confiança (1-α):
%
Desvio padrão (S ou ơ):
Margem de erro (ε):
Calcular!