Sample Size
Início
Sobre
PPGCS Sample Size
Calcule aqui o tamanho da amostra do seu estudo!
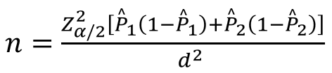
Estimar diferença entre duas proporções (intervalo de confiança da diferença)
Informe os parâmetros
Nível de Confiança (1-α):
%
Proporção grupo 1 - em % (P1):
%
Proporção grupo 2 - em % (P2):
%
Diferença (d):
Calcular!