Sample Size
Início
Sobre
PPGCS Sample Size
Calcule aqui o tamanho da amostra do seu estudo!
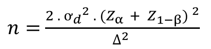
Duas Médias amostrais pareadas (Teste Unilateral)
Informe os parâmetros
Nível de Confiança (1-α):
%
Poder do teste (β):
%
Desvio padrão da diferença (ơd):
Diferença entre as médias (∆):
Calcular!