Sample Size
Início
Sobre
PPGCS Sample Size
Calcule aqui o tamanho da amostra do seu estudo!
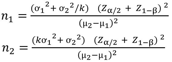
Duas Médias amostrais independentes de tamanhos diferentes (Teste Bilateral)
Informe os parâmetros
Nível de Confiança (1-α):
%
Poder do teste (β):
%
Desvio padrão pop. 1 (ơ1):
Desvio padrão pop. 2 (ơ2):
Média pop. 1 (µ1):
Média pop. 2 (µ0):
k:
Calcular!